Langsung ke konten utama

Rumus Tegangan Permukaan

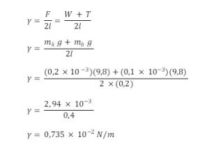
Rumus Tegangan Permukaan. Hal inilah yang disebut dengan tegangan permukaan. Tegangan diturunkan dengan cara membagi besar gaya yang diterima benda uji dengan luas permukaan benda uji tersebut.

Rumus elastisitas fisika dan contoh soal - Pak Mono
Rumus elastisitas fisika dan contoh soal - Pak Mono (Wayne Barnett)
Tegangan permukaan zat cair adalah kecenderungan permukaan zat cair untuk menegang,sehingga permukaannya seperti ditutupi oleh suatu lapisan elastis. Tegangan menunjukkan gaya per satuan luas penampang. Pengertian Tegangan Permukaan Beserta Rumus Lengkap PEMUDABERSATU.

Selain itu, cairan juga menunjukan adanya tegangan permukaan yang merupakan salah satu sifat penting lainnya dari cairan.

Tegangan permukaan pun bertanggung jawab atas bentuk tetesan cairan.

Rumus Fisika SMA

Tegangan Permukaan: Pengertian - Rumus dan Contoh Soal ...

~ My Life, My Story ~: Kapilaritas

uds-cara-menghitung-luas-permukaan-kerucut-450x300p

Tegangan permukaan - YouTube

Rumus Mekanika Fluida - Belajar Menjawab

Tegangan Permukaan - Pengertian, Rumus dan Contoh - Pengertian

Rumus Tegangan Yang Tepat Adalah - Edukasi.Lif.co.id

√ Pengertian Tegangan Permukaan Beserta Rumus Lengkap

F dalam N, d dalam m. dalam N/m. Tegangan permukaan suatu zat cair dipengaruhi oleh beberapa faktor diantaranya suhu dan zat terlarut. Dengan tidak adanya kekuatan lain, termasuk gravitasi, tetes hampir semua cairan akan berbentuk bulat sempurna.

Komentar

Postingan populer dari blog ini

Keberagaman Adalah

Keberagaman Adalah . Keberagaman adalah bagian yang tak bisa dipisahkan dalam masyarakat multikultural. Jika dimanfaatkan secara positif, perbedaan tersebut dapat menjadi aset untuk negara Indonesia. Keberagaman adalah Takdir Tidak Diminta Melainkan ... (Antonio Allison) Dikutip dari situs resmi Kementerian Pendidikan dan Kebudayaan Republik Indonesia, pengertian keberagaman adalah suatu kondisi dalam masyarakat yang terdapat banyak perbedaan dalam berbagai bidang. Demikianlah pembahasan mengenai Keragaman adalah - Pengertian, Faktor, Macam, Unsur, Makna dan Implementasi semoga dengan adanya ulasan tersebut dapat menambah wawasan dan pengetahuan anda semua, terima kasih banyak atas kunjungannya. Penyebab keberagaman di Indonesia, diantaranya adalah faktor geografis. Seperti diketahui, Indonesia merupakan negara kepulauan yang penuh dengan keberagaman dan perbedaan. Seperti yang kita ketahui, keberagaman karakteristik individu bisa berbentuk apa saja, nah dib...

Past Continuous Tense

Past Continuous Tense . The past continuous is made from the past tense of the verb be and the -ing form of a verb: The children were doing their homework when I got home. Note that continuous tenses are also called progressive tenses. Past Perfect Continuous Tense: Definition, Rules and ... (Timothy Henry) In other words, past continuous tense is used to describe or indicate actions that began in the past and were continuing when another event occurred. We use it to say what we were in the middle of doing at a particular moment in the past. It it used to talk about an ongoing and uncompleted action at a particular moment in the past. What tense is "I was working" or "They were going" in English? Common tense markers: When / While / As / All night yesterday. Past Continuous Tense, Definition and Examples - English ... Past Continuous Tense - Detailed Expre...

Diagnosa Adalah

Diagnosa Adalah . Artikel ini perlu dikembangkan agar dapat memenuhi kriteria sebagai entri Wikipedia. Aplikasi Kamus Besar Bahasa Indonesia (KBBI) ini merupakan KBBI Daring (Dalam Jaringan / Online tidak resmi) yang dibuat untuk memudahkan pencarian, penggunaan dan pembacaan arti kata (lema/sub lema). √ Diagnosis : Pengertian, Ciri, Manfaat dan Tahapan Diagnosa (Micheal Diaz) Artikel ini perlu dikembangkan agar dapat memenuhi kriteria sebagai entri Wikipedia. Clipping is a handy way to collect important slides you want to go back to later. Hal tersebut biasanya perlu pemeriksaan lanjut oleh dokter dari pemeriksaan fisik secara rutin dan laboratroium oleh dokter sehingga dapat diketahui penyebab dari demam yang. Diagnosis ini didasarkan pada adanya tanda dan gejala. Diagnosa per pengecualian - diagnosis berdasarkan pengecualian. Demo Sistem Pakar Diagnosa Penyakit Gigi & Mulut (Metode ... ...